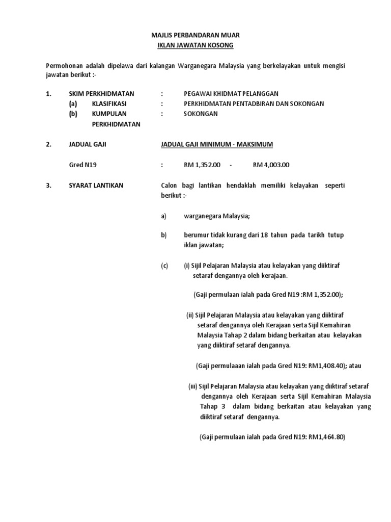
Pegawai Khidmat Pelanggan Gred N19
Di bawah merupakan antara contoh soalan psikometrik pegawai khidmat pelanggan n19 yang boleh anda jadikan rujukan awal sebagai persediaan peperiksaan pegawai khidmat pelanggan n19.
Pegawai khidmat pelanggan gred n19. Untuk makluman pihak spa telah mewar warkan panggilan menduduki peperiksaan ini melalui email website spa8i dan fan page spa di facebook. Semakan panggilan temuduga spa dan juga mengetahui keputusan temuduga spa anda. Bertanggungjawab melaksanakan tugas tugas berkaitan khidmat telefon khidmat penerangan dan khidmat perhubungan pelanggan di peringkat agensi berkaitan seperti mengendalikan panggilan telefon peringkat dalaman dan luaran melayani dan membantu pelanggan yang berurusan dengan agensi dan memberi penerangan mengenai perkhidmatan yang disediakan oleh agensi. Pegawai khidmat pelanggan gred n19 1.
Kad pengenalan anda contoh. Tahu tak anda ujian psikometrik spa diaplikasikan dalam pelbagai peperiksaan pelbagai jawatan kemasukan kerja kerajaan. Pegawai khidmat pelanggan gred n19 di kementerian kesihatan malaysia semenanjung no. Format peperiksaan pegawai khidmat pelanggan n19.
Bagi membolehkan pegawai khidmat pelanggan gred n19 mempunyai pengetahuan asas mengenai perintah perintah dan arahan arahan yang berkitan dengan pentadbiran yang secara. Jawatan pegawai khidmat pelanggan gred n19 boleh dimohon menerusi borang suruhanjaya perkhidmatan awam spa. Calon yang lulus peperiksaan dan temuduga pegawai khidmat pelanggan akan berkhidmat dimana mana jabatan kementerian dan lokasi penempatan yang memerlukan khidmat seorang pegawai khidmat pelanggan. Semakan keputusan temuduga spa.
Kementerian kesihatan malaysia semenanjung jumlah kekosongan. Buat pemohon pekerjaan yang daftar masuk spa menerusi borang permohonan spa8i online kini anda boleh menyemak jadual temuduga spa anda. Jawatan pegawai khidmat pelanggan gred n19 merupakan jawatan kumpulan pelaksana di bawah kkm atau pelbagai kementerian dan jabatan lain. Pegawai khidmat pelanggan gred n19 kementerian jabatan.
1 januari 2007 2. Jawatan pegawai khidmat pelanggan gred n19 kementerian kementerian pendidikan malaysia kumpulan perkhidmatan pelaksana klasifikasi perkhidmatan perkhidmatan pentadbiran dan sokongan jadual gaji peringkat gaji minimum rm sebulan gaji maksimum rm sebulan kadar kenaikan gaji tahunan rm.
 
										
				 
										
				 
										
				 
										
				 
										
				 
										
				 
										
				 
										
				 
										
				 
										
				 
										
				 
										
				 
										
				 
										
				 
										
				